Multiple Choice Identify the
choice that best completes the statement or answers the question.
|
|
|
1.
|
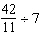
Simplify and Divide the following: 
|
|
|
2.
|
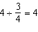
Simplify and Divide the following: 
|
|
|
3.
|
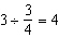
Simplify and Divide the following: 
|
|
|
4.
|
Simplify and Divide the following: 
|
|
|
5.
|
Simplify and Divide the following: 
|
|
|
6.
|
Simplify and Divide the following: 
|
|
|
7.
|
Simplify and Divide the following: 
|
|
|
8.
|
Simplify and Divide the following: 
a. | 49 | c. |  | b. | 25 | d. |  |
|
|
|
9.
|
Suppose “a”, “b” , “c” and “d”
are all integers, Divide the following: 
|
|
|
10.
|
What division statement is represented by the diagram shown below? 
|
|
|
11.
|
What division statement is represented by the diagram shown below? 
|
|
|
12.
|
What division statement is represented by the diagram shown below? 
|